Appearance
12.8.6 正非线性算子
为了成功地应用绍德尔不动点定理, 要求适当选择一个集合, 使得所考虑的算子将之映入其自身. 在应用中, 尤其是在非线性边值问题理论中, 常常考虑有序赋范函数空间和保持相应锥不变的正算子,或者保序增算子,即若
设
注意,如果
是适定的,即

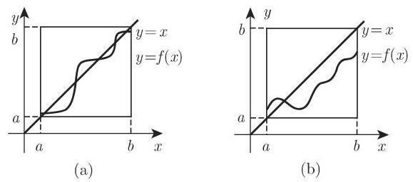
现在有如下命题 (图 12.6(a)): 设
**a)
**b)
于是 (12.205) 中定义的序列
上解和下解的概念就是基于以上结论 (参见 [12.7], [12.13], [12.14]).