Appearance
19.6.2 平均逼近
平均逼近的原理是高斯最小二乘法. 在计算中, 区别连续与离散两种情况.
19.6.2.1 连续问题、正规方程
函数
取极小值.
设最佳逼近
其中函数
由此得到所谓正规方程组
以确定未知系数
看作两个指示函数的内积.
因为函数
则不用求解方程组就可直接确定系数
称方程组为正交的. 满足 (19.175) 的正规方程 (19.172) 简化为
线性无关函数组可以正交化. 依赖于权函数和积分区间,从幂函数
多项式名称 | 见页码 | ||
1 | 勒让德多项式 | 566 | |
切比雪夫多项式 | 989 | ||
拉盖尔多项式 | 568 | ||
埃尔米特多项式 | 568 |
这些多项式可在任意区间上应用.
(1) 有限近似区间.
(2)一端无限的近似区间, 如在依赖于时间的问题中.
(3) 两端都是无限的近似区间, 如在流问题中.
每个有限区间
化为区间
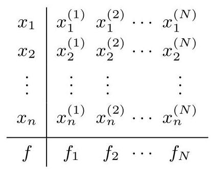
19.6.2.2 离散问题、正规方程、豪斯霍尔德方法
设
为极小.
在下面的记号中用到高斯求和符号:
通常
- 对多项式
,正规方程为 ,其中 . 正规方程 (19.180) 的系数矩阵是对称的,可以用楚列斯基方法数值求解.
正规方程 (19.180) 和残量平方和 (19.179) 有如下紧形式:
其中
若以求解
若
从数值角度看, 推荐用豪斯霍尔德方法 (参见第 420 页 4.5.3.2, 2.) 解方程 (19.183), 其解导致极小的残量平方和 (19.179).
19.6.2.3 多维问题
1. 调整计算
设函数

通过引进下列向量可更清晰地给出调整问题:
的函数近似. 这里
系数由极小化
2. 正规方程组
把插值点
或超定的方程组
19.6.2.4 非线性最小二乘问题
对一维离散问题讨论其主要思想. 近似函数
记号
指出了近似函数
由必要条件
在实际问题中常用的求解此问题的另一途径是为解非线性最小二乘问题 (19.24) 而给出的高斯-牛顿法 (参见第 1251 页 19.2.2.3). 下面的步骤用来解非线性逼近问题 (19.189):
(1) 借助关于
(2) 借助正规方程组
或豪斯霍尔德方法, 求解线性极小化问题
在 (19.191) 中向量
可类似于 (19.182b) 中的
(3) 计算新的近似
其中
用